# pchip
分段三次 Hermite 插值多项式(PCHIP)
函数库: TyMath
# 语法
p = pchip(x,y,xq)
pp = pchip(x,y)
# 说明
p = pchip(x,y,xq) 返回与 xq 中的查询点对应的插值 p 的向量。p 的值由 x 和 y 的保形分段三次插值确定。示例
pp = pchip(x,y) 返回一个分段多项式结构体以用于 ppval 和样条实用工具 unmkpp。
# 示例
使用 spline、pchip 和 makima 的数据插值
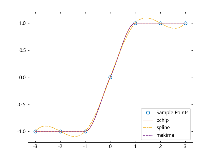
将 spline、pchip 和 makima 为两个不同数据集生成的插值结果进行比较。这些函数都执行不同形式的分段三次 Hermite 插值。每个函数计算插值斜率的方式不同,因此它们在基础数据的平台区或波动处展现出不同行为。
对连接两个平台区的样本数据进行插值,并比较结果。创建由 x 值、点 y 处的函数值以及查询点 xq 组成的向量。使用 spline、pchip 和 makima 计算查询点处的插值。绘制查询点处的插值函数值以进行比较。
using TyMath
using TyPlot
x = -3:3;
y = [-1 -1 -1 0 1 1 1];
xq1 = -3:0.01:3;
p = pchip(x, y, xq1);
s = spline(x, y, xq1);
m = makima(x, y, xq1);
plot(x, y, "o", xq1, p, "-", xq1, s, "-.", xq1, m, "--")
legend(["Sample Points", "pchip", "spline", "makima"], loc = "southeast")
在本例中,pchip 和 makima 具有相似的行为,因为它们可以避免过冲,并且可以准确地连接平台区。
使用振动采样函数执行第二次比较。
x = 0:15;
y = besselj.(1, x);
xq2 = 0:0.01:15;
p = pchip(x, y, xq2);
s = spline(x, y, xq2);
m = makima(x, y, xq2);
plot(x, y, "o", xq2, p, "-", xq2, s, "-.", xq2, m, "--")
legend(["Sample Points", "pchip", "spline", "makima"])
当基础函数振荡时,spline 和 makima 能够比 pchip 更好地捕获点之间的移动,后者会在局部极值附近急剧扁平化。
使用分段多项式结构体进行插值
创建 x 值及其函数值 y 的向量,然后使用 pchip 来构造一个分段多项式结构体。
using TyMath
using TyPlot
x = -5:5;
y = [1 1 1 1 0 0 1 2 2 2 2];
p = pchip(x, y);
结合 ppval 使用该结构体以计算几个查询点处的插值。绘制结果。
xq = -5:0.2:5;
pp = ppval(p, xq);
plot(x, y, "o", xq, pp, "-.")
ylim(-0.2, 2.2)

# 输入参数
x — 样本点向量
样本点,指定为一个向量。向量 x 指定提供数据 y 的点。x 的元素必须是唯一的。
数据类型: Int | Float
y — 样本点处的函数值向量 | 矩阵 | 数组
样本点处的函数值,指定为数值向量、矩阵或数组。x 和 y 的长度必须相同。
如果 y 是矩阵或数组,则在获取最后一个维度 y[:,...,:,j] 中的值时应使其匹配 x。在此情况下,y 的最后一个维度的长度必须与 x 相同。
数据类型: Int | Float
xq — 查询点标量 | 向量 | 矩阵 | 数组
查询点,指定为标量、向量、矩阵或数组。xq 中指定的点是 pchip 计算出的插值函数值 yq 的 x 坐标。
数据类型: Int | Float
# 输出参数
p — 查询点位置的插值向量 | 矩阵 | 多维数组
查询点处的插值,以标量、向量、矩阵或数组形式返回。p 的大小与 y 和 xq 的大小相关:
如果 y 为向量,则 p 的大小与 xq 相同;
如果 y 是大小为 Ny = size(y) 的数组,则下列条件适用:
如果 xq 为标量或向量,则 size(p) 返回 [Ny(1:end-1) ; length(xq)];
如果 xq 是数组,则 size(p) 返回 [Ny(1:end-1) ; size(xq)。
数据类型: Int | Float
pp — 查询点处的分段多项式值向量 | 矩阵 | 多维数组
分段多项式,以结构体形式返回。将此结构体与 ppval 函数结合使用可计算一个或多个查询点处的插值多项式。该结构体包含以下字段。
| 字段 | 说明 |
|---|---|
| form | 分段多项式的 "pp" |
| breaks | 包含严格递增元素的长度为 L+1 的向量,这些元素代表 L 个区间中每个区间的开始点和结束点 |
| coefs | L×k 矩阵,其中每行 coefs[i,:] 包含第 i 个区间 [breaks[i],breaks[i+1]] 上 k 次多项式的局部系数 |
| pieces | 段数 L |
| order | 多项式的阶 |
| dim | 目标的维度 |
由于 coefs 中的多项式系数是每个区间的本地系数,因此您必须减去对应节区间的较低端点,以使用传统多项式方程中的系数。换言之,对于区间 [x1,x2] 上的系数 [a,b,c,d],对应的多项式为:
# 详细信息
保形分段三次插值
pchip 使用具有以下属性的分段三次多项式 P(x) 进行插值:
- 在每个子区间
上,多项式 P(x) 是给定数据点的三次 Hermite 插值多项式,在插值点具有指定的导数(斜率); - P(x) 进行 y 插值,即
,并且该一阶导数 是连续的。二阶导数 可能不连续,因此 处可能存在跳跃; - 三次插值 P(x) 具有保形效果。在
处的斜率以特定方式选择,使得 P(x) 保留数据的形状和相应的单调性。因此,在数据具有单调性的区间上,P(x) 也是单调的;在数据具有局部极值的点上,P(x) 也具有局部极值。
注意
如果 y 是矩阵,则 P(x) 在 y 的每一行上满足上述属性。
# 提示
spline 构造 S(x) 的方式几乎与 pchip 构造 P(x) 的方式相同。但是,spline 在
spline 产生更平滑的结果,即
是连续的; 如果数据由平滑函数的值组成,则 spline 可获得更精确的结果;
如果数据不平滑,则 pchip 无过冲且振荡较少;
设置 pchip 的开销较低;
计算二者的开销相当。
# 参考文献
[1] Fritsch, F. N. and R. E. Carlson. "Monotone Piecewise Cubic Interpolation." SIAM Journal on Numerical Analysis. Vol. 17, 1980, pp.238–246.
[2] Kahaner, David, Cleve Moler, Stephen Nash. Numerical Methods and Software. Upper Saddle River, NJ: Prentice Hall, 1988.