# tpaps
薄板平滑样条
函数库: TyCurveFitting
# 语法
st, P = tpaps(x,y)
st, P = tpaps(x,y,p)
# 说明
st, P = tpaps(x, y) 返回对给定数据位点 x[:,j] 以及给定数据值 y[:,j] 的 st 型的薄板平滑样条 f 以及最后的样条结果中使用的平滑参数的值,无论有没有指定 p。P 值在从 st,P = tpaps(x, y)开始得到对 p 的好的初始估计的实验中有用。x[:,j] 必须为平面上的不同点,其值可以为标量、向量、矩阵或多维数组,数据值的个数必须与数据位点的个数相同。
薄板平滑样条 f 为加权和
的唯一最小化子,其中 E(f) 为误差测度
R(f) 为粗糙测度
这里积分在整个
st, P = tpaps(x, y, p) 也指定了平滑参数 p,该数介于 0 到 1 之间。当平滑参数从 0 变到 1 时,平滑样条就从对数据的最小二乘估计的线性多项式(p 为0)变到对数据的薄板样条插值(p 为1)。示例
# 示例
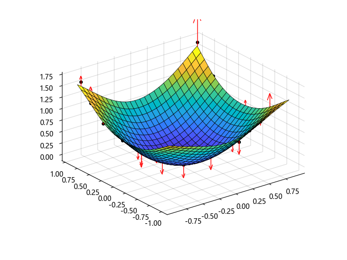
从噪声数据复原准确的光滑值
接下来的代码从一个光滑函数在31个任意选取的数值位点得到其取值,将这些值加上任意噪声,然后使用tpaps复原准确的光滑值。为了展现tpaps在这种情况下表现多好,代码除了平滑样条外还绘制了精确值(用黑球表示)以及从光滑值指向对应噪声值的箭头。
using TyPlot
using TyCurveFitting
using TyMath
rng = MersenneTwister(1234)
nxy = 31
xy = 2 .*(rand(rng,2,nxy).-.5)
vals = sum(xy.^2, dims=1)
noisyvals = vals + (rand(rng,size(vals,1), size(vals,2)).-.5)./5
st = tpaps(xy, noisyvals)[1]
fnplt(st)
hold("on")
avals = fnval(st, xy)
plot3(xy[1,:], xy[2,:], vals[:], "wo", markerfacecolor="k")
quiver3(xy[1,:], xy[2,:],avals[:],zeros(1,nxy)[:],zeros(1,nxy)[:],(noisyvals-avals)[:],color="r", length=5)
hold("off")

使用薄板样条插值构造地图
接下来的代码对向量值数据值使用薄板样条插值来构造了地图,从平面到平面,将单位球
using TyPlot
using TyCurveFitting
n = 64
t = LinRange(0, 2 * pi, n + 1)
t = t[1:end-1]'
values = [cos.(t); sin.(t)]
centers = values ./ repeat(maximum(abs.(values), dims=1), 2, 1)
st = tpaps(centers, values, 1)[1]
fnplt(st)
axis("equal")
注意此处选择平滑参数为 1 以得到插值。
# 输入参数
x — 数据位点一维数组 | 元组
拟合数据值 y 的数据位点,单变元时指定为一维数组,多变元时指定为元组。样条 f 使用每个数据位点 x 作为节点,且使得对于所有的 j,满足 f(x[j])=y[:,j]。
在多变元情形应为网格数据,可以指定x为对每个变元维度指定数据位点的元组:f(x1[i],x2[j],...,xn[k])=y[:,i,j,...,k]。
数据类型: Int | Float
y - 拟合数据向量 | 矩阵 | 多维数组
在样条构造时用于拟合的数据值,为向量、矩阵或数组。数据值 y[:,j]可以为标量、矩阵或 n 维数组。在同一数据位点 x 给定的数据值将会被平均。
数据类型: Int | Float
p - 平滑参数在 [0,1] 中的标量 | 向量 | 数组元组 | 空数组
光滑参数,单变元情形指定为从 0 到 1 的标量值,多变元情形为值元组。可以通过将 p 以向量形式传入以提供粗糙测度权
平滑参数决定了在使得 f 变得光滑以及使 f 与数据接近之间的权重。对于 p=0,f 为数据的最小二乘直线拟合。对于 p=1,f 为变化的,或者说自然的,三次样条插值。当 p 从 0 变到 1 时,平滑样条就从一个极端变到另一个。
p 的范围一般在
如果输入 p 为负或者为空,函数将会使用默认的 p。
可以通过以向量形式提供p来指定沿着平滑参数的粗糙测度权
如果对选择 p 存在困难但是对 y 中的噪声维度有感觉,可以使用 spaps(x, y, tol)。该函数选择 p 以使在误差测度不超过 tol 的基础上让噪声测度越小越好。这种情况下,误差测度常常与 tol 的指定值相同。
数据类型: Float
# 输出参数
st - 样条结构体样条结构体
样条,以带有以下元素的结构体形式返回。
Form-样条的类型"st-tp00" | "st-tp10" | "st-tp01" | "st-tp"
样条的类型,返回为"st-tp00","st-tp10","st-tp01"或"st-tp"。
数据类型: String
Centers-位点序列矩阵 | 数组
位点序列,单变元时以矩阵,多变元时以数组形式返回。
数据类型: Int | Float
Coefs-多项式系数
每一分段多项式的系数,单变元时为矩阵,多变元时为数组。
数据类型: Int | Float
Ncenters - 中心的数目标量 | 向量
位点序列的数目。
数据类型: Int
Number - 多项式分段的段数标量 | 向量
描述样条的多项式分段的数目,单变元时以标量,多变元时以由各变元分段数目组成的向量形式返回。
数据类型: Int
Dim - 维数标量
目标函数的维数,以标量形式返回。
数据类型: Int
Interv - 基本区间数组元组
st型的基本区间,其中包含了所有给定的中心,以数组形式返回。
数据类型: Int | Float
P - 平滑参数标量 | 数组元组
用来计算样条的平滑参数,单变元时以标量,多变元时以标量值的数组元组形式返回。P 在 0 到 1 之间。
数据类型: Float
# 限制
平滑样条的构造包含了求解有与数据点相同个数的位置量的线性系统。因为这个线性系统的矩阵不是稀疏的,这样的求解可能花很长时间,即使现在的算法在超过 728 个数据点时就会使用迭代策略。迭代的收敛速度与 p 的选择强相关,如果 p 越大,收敛越慢。因此,对于大规模问题,推荐仅仅在时间成本可负担时使用插值,即让 p 与 1 相同。