# histogram2
二元直方图
函数库: TyPlot
二元直方图是一种数值数据条形图,它将数据分组到二维 bin 中。创建 Histogram2 对象后,可以通过更改直方图的属性值修改它的各个方面。这对快速修改 bin 属性或更改显示特别有用。
# 语法
histogram2(X,Y)
histogram2(X,Y,nbins)
histogram2(X,Y,Xedges,Yedges)
histogram2(___,Key=Value)
histogram2(ax,___)
h = histogram2(___)
# 说明
histogram2(X,Y) 创建 X 和 Y 的二元直方图。histogram2 函数使用自动 bin 划分算法,然后返回均匀面积的 bin,这些 bin 可涵盖 X 和 Y 中的元素范围并显示分布的基本形状。histogram2 将 bin 显示为三维矩形条形,这样每个条形的高度就表示 bin 中的元素数量。示例
histogram2(X,Y,nbins) 指定要在直方图的每个维度中使用的 bin 数量。示例
histogram2(X,Y,Xedges,Yedges) 使用向量 Xedges 和 Yedges 指定每个维度中 bin 的边界。示例
histogram2(___,Key=Value) 使用前面的任何语法指定具有一个或多个 Name,Value 对组参数的其他选项。例如,可以指定 "binwidth" 和一个二元素向量以调整每个维度中 bin 的宽度,或指定 "normalization" 和一个有效选项("count"、"probability" 或 "countdensity")以使用不同类型的归一化。示例
histogram2(ax,___) 将图形绘制到 ax 指定的坐标区中,而不是当前坐标区 (gca) 中。选项 ax 可以位于前面的语法中的任何输入参数组合之前。
h = histogram2(___) 返回 Histogram 对象。使用此语法可检查并调整二元直方图的属性。
# 示例
向量的直方图
生成 10000 个随机数对组并创建一个二元直方图。histogram2 函数自动选择合适的 bin 数量,以便涵盖 x 和 y 中的值范围并显示基本分布的形状。
using TyPlot
pkg_dir = pkgdir(TyPlot)
source_path = pkg_dir * "/examples/histogram2/data_10000.jl"
include(source_path)
h = histogram2(x, y)
xlabel("x")
ylabel("y")
指定 histogram2 函数的输出参数时,它返回一个二元直方图对象。可以使用该对象检查直方图的属性,例如 bin 数量或宽度。
计算每个维度的直方图 bin 数量。
nXnY = h.NumBins
nXnY =
2-element Vector{Int64}:
25
28
指定直方图的 bin 数量
为划分入 25 个等距 bin 的 1,000 个随机数对组绘制一个二元直方图,其中每个维度使用 5 个 bin。
using TyPlot
pkg_dir = pkgdir(TyPlot)
source_path = pkg_dir * "/examples/histogram2/data_10000.jl"
include(source_path)
h = histogram2(x, y)
xlabel("x")
ylabel("y")
file_path = (pkgdir(TyPlot)) * "/examples/histogram2/data_1000.jl"
include(file_path)
nbins = 5;
h = histogram2(x, y, nbins)
求生成的 bin 计数。
counts = h.Values
counts =
5×5 Matrix{Float64}:
0.0 2.0 3.0 1.0 0.0
2.0 40.0 124.0 47.0 4.0
1.0 119.0 341.0 109.0 10.0
1.0 32.0 117.0 33.0 1.0
0.0 4.0 8.0 1.0 0.0
调整直方图 bin 的数量
生成 1,000 个随机数对组并创建一个二元直方图。
using TyPlot
function morebins(nbins)
return Int(ceil(nbins * 1.1))
end
function fewerbins(nbins)
return Int(floor(nbins * 0.9))
end
file_path = (pkgdir(TyPlot)) * "/examples/histogram2/data_1000.jl"
include(file_path)
h = histogram2(x, y)
使用 morebins 函数精略调整 x 维度中的 bin 数量。
nbins_x = morebins(h.NumBins[1]);
nbins_x = morebins(nbins_x)
nbins = [nbins_x, h.NumBins[2]]
println(nbins)
yedges = h.YBinEdges
cla()
h = histogram2(x, y, nbins, ybinedges = yedges)
nbins =
2-element Vector{Int64}:
19
15
使用 fewerbins 函数调整 y 维度中的 bin 数量。
nbins_y = fewerbins(h.NumBins[2]);
nbins_y = fewerbins(nbins_y)
nbins = [h.NumBins[1], nbins_y]
println(nbins) #[19 15]
cla()
h = histogram2(x, y, nbins)
nbins =
2-element Vector{Int64}:
19
11
通过显式设置 bin 数按精细粒度级别调整 bin 数量。
cla()
h = histogram2(x, y, [20, 10])

指定直方图的 bin 边界
生成 1,000 个随机数对组并创建一个二元直方图。使用两个向量指定 bin 边界,使具有无限宽的 bin 在直方图的边缘,以捕获不满足 x<2 的所有离群值。
using TyPlot
file_path = (pkgdir(TyPlot)) * "/examples/histogram2/data_1000.jl"
include(file_path)
Xedges = [-2:0.4:2...];
Yedges = [-2:0.4:2...];
h = histogram2(x, y, Xedges, Yedges, normalization = "countdensity")

归一化的直方图
生成 1000 个随机数对组并使用 "probability" 归一化创建一个二元直方图。
using TyPlot
file_path = (pkgdir(TyPlot)) * "/examples/histogram2/data_1000.jl"
include(file_path)
h = histogram2(x, y, normalization = "probability")
计算条形高度的总和。通过此归一化,每个条形的高度等于选取位于该 bin 间隔内的观测值的概率,并且所有条形的高度总和为 1。
S = sum(h.Values)
S = 1.0
保存并加载二元直方图对象
使用 savefig 函数保存二元直方图图窗。
using TyPlot
using TyBase
file_path = (pkgdir(TyPlot)) * "/examples/histogram2/data_100.jl"
include(file_path)
histogram2(x, y);
savefig("histogram2.syslabfig");
clear()
plt_close("all")
使用 openfig 重新将直方图加载到 Syslab。openfig 也返回图窗 h 的句柄。
h = openfig("histogram2.syslabfig")
# 输入参数
X,Y - 要分布到各 bin 的数据(以单独参数指定)向量 | 矩阵 | 多维数组
要分布到各 bin 的数据,指定为向量、矩阵或多维数组的单独参数。X 和 Y 的大小必须相同。如果 X 和 Y 不是向量,则 histogram2 将其视为单列向量 X[:] 和 Y[:],并绘制一个直方图。
X 和 Y 中的对应元素指定二维数据点 [X[k],Y[k]] 的 x 和 y 坐标。X 和 Y 的数据类型可以不同,但 histogram2 会将这些输入串联成占优数据类型的 N×2 矩阵。
数据类型: Float32 | Float64 | Int8 | Int16 | Int32 | Int64 | UInt8 | UInt16 | UInt32 | UInt64 | Bool
nbins - 每个维度中的 bin 数量标量 | 向量
每个维度中的 bin 数量,指定为一个正整数标量或由正整数组成的二元素向量。如果不指定 nbins,则 histogram2 自动基于 X 和 Y 中的值计算要使用多少个 bin。
如果 nbins 是标量,则 histogram2 在每个维度中使用该标量所指定的 bin 数;
如果 nbins 是向量,则 nbins[1] 指定 x 维度的 bin 数,nbins[2] 指定 y 维度的 bin 数。
示例: histogram2(X,Y,20) 在每个维度中使用 20 个 bin。
示例: histogram2(X,Y,[10 20]) 在 x 维度使用 10 个 bin,在 y 维度使用 20 个 bin。
Xedges - x 维度中的 bin 边界向量
x 维度中的 bin 边界,指定为向量。Xedges[1] 是 x 维度的第一个 bin 的第一个边界,Xedges[end] 是最后一个 bin 的外边界。
如果 Xedges[i] ≤ X[k] < Xedges[i+1] 且 Yedges[j] ≤ Y[k] < Yedges[j+1],则 (X[k],Y[k]) 位于第 [i,j] 个 bin 中。每个维度中的最后 bin 还包含最后一个(外部)边界。例如,如果 Xedges[end-1] ≤ X[k] ≤ Xedges[end] 且 Yedges[i] ≤ Y[k] < Yedges[i+1],则 (X[k],Y[k]) 属于最后一行中的第 i 个 bin。
数据类型: Float32 | Float64 | Int8 | Int16 | Int32 | Int64 | UInt8 | UInt16 | UInt32 | UInt64 | Bool
Yedges - y 维度中的 bin 边界向量
y 维度中的 bin 边界,指定为向量。yedges[1] 是 y 维度的第一个 bin 的第一个边界,yedges[end] 是最后一个 bin 的外边界。
如果 Xedges[i] ≤ X[k] < Xedges[i+1] 且 Yedges[j] ≤ Y[k] < Yedges[j+1],则 (X[k],Y[k]) 位于第 [i,j] 个 bin 中。每个维度中的最后 bin 还包含最后一个(外部)边界。例如,如果 Xedges[end-1] ≤ X[k] ≤ Xedges[end] 且 Yedges[i] ≤ Y[k] < Yedges[i+1],则 (X[k],Y[k]) 属于最后一行中的第 i 个 bin。
数据类型: Float32 | Float64 | Int8 | Int16 | Int32 | Int64 | UInt8 | UInt16 | UInt32 | UInt64 | Bool
ax - 坐标区对象对象
坐标区对象。如果未指定坐标区,histogram2 函数将使用当前坐标区 (gca)。
# 名称-值对组参数
指定可选的、以逗号分隔的 Key=Value 对组参数。Key 为参数名称,Value 为对应的值。您可采用任意顺序指定多个名称-值对组参数,如 Key1=Value1,...,KeyN=ValueN 所示。
示例: histogram2(X,Y,binwidth = [5 10])
此处所列的属性只是一部分。
label - 图例nothing(默认) | 字符串 | 数值
label 图例,默认 nothing,使用默认数据 data1 标记图形对象。如果设置了图例则以图例内容标记图形对象。
binmethod - bin 划分算法"auto" (默认) | "scott" | "integers" | "fd"
bin 划分算法,指定为此表中的一个值。
| 值 | 说明 |
|---|---|
| "auto" | 默认的 "auto" 算法选择一个 bin 宽度,以便涵盖数据范围并显示基础分布形状。 |
| "scott" | 如果数据接近正态分布,则 Scott 规则最佳。该规则也适用于大多数的其他分布。它使用 bin 宽度 3.5*std(X[:])*numel(X)^(-1/3)。 |
| "integers" | 整数规则对整数数据有用,因为它为每个整数创建一个 bin。它使用 bin 宽度 1 并将 bin 边界放在整数的中间。为避免无意间创建太多 bin,可以使用该规则创建 65536 (216) 个 bin 的限制。如果数据范围大于 65536,则整数规则改用更宽的 bin。 |
| "sturges" | Sturges 规则因其简单性而广受欢迎。它将 bin 数量选择为 ceil(1 + log2(numel(X)))。 |
| "sqrt" | 平方根规则是广泛用于其他软件包。它将 bin 数量选择为 ceil(sqrt(numel(X)))。 |
histogram2 并不始终使用这些精确的公式来选择 bin 数目。有时 bin 数目会稍做调整,以便 bin 边界落在“合适”的数字上。
示例: histogram2(X,binmethod="integers") 创建一个带有以整数为中心的 bin 的直方图。
binwidth - bin 的宽度向量
每个维度中的 bin 宽度,指定为由正整数组成的二元素向量 [xWidth yWidth]。
如果指定 binwidth,则 histogram2 可以沿每个维度使用最多 1024 (210) 个 bin。如果指定的 bin 宽度需要多个 bin,则 histogram2 使用与最大 bin 数对应的较大的 bin 宽度。
示例: histogram2(X,Y, binwidth = [5 10]) 在 x 维度使用的 bin 的大小为 5,在 y 维度使用的 bin 的大小为 10。
edgealpha - 直方图条形边的透明度1 (默认) | 介于 0 和 1(包括二者)之间的标量值
直方图条形边的透明度,指定为介于 0 和 1(包含这两个边界值)之间的标量值。值 1 表示完全不透明,0 则表示完全透明(不可见)。
示例: histogram2(X,edgealpha=0.5) 创建一个具有半透明条形边的二元直方图。
edgecolor - 直方图的边界颜色[0.15, 0.15, 0.15] (默认) | "none" | RGB 三元组 | 十六进制颜色代码 | 颜色名称
直方图的边界颜色,指定为下列值之一:
- "none" - 不绘制边;
- RGB 三元组、十六进制颜色代码或颜色名称 - 边使用指定的颜色。
RGB 三元组和十六进制颜色代码对于指定自定义颜色非常有用。
- RGB 三元组是包含三个元素的行向量,其元素分别指定颜色中红、绿、蓝分量的强度。强度值必须位于 [0,1] 范围内,例如 [0.4 0.6 0.7];
- 十六进制颜色代码是字符向量或字符串标量,以井号 (#) 开头,后跟三个或六个十六进制数字,范围可以是 0 到 F。这些值不区分大小写。因此,颜色代码 "#FF8800" 与 "#ff8800"、"#F80" 与 "#f80" 是等效的。
此外,还可以按名称指定一些常见的颜色。下表列出了命名颜色选项、等效 RGB 三元组和十六进制颜色代码。
| 颜色名称 | 短名称 | RGB 三元组 | 十六进制颜色代码 | 外观 |
|---|---|---|---|---|
| "red" | "r" | [1, 0, 0] | "#FF0000" | ![]() |
| "green" | 不适用 | [0, 0.5019607843137255, 0] | "#008000" | ![]() |
| 不适用 | "g" | [0, 0.5, 0] | "#007F00" | ![]() |
| 不适用 | 不适用 | [0, 1, 0] | "#00FF00" | ![]() |
| "blue" | "b" | [0, 0, 1] | "#0000FF" | ![]() |
| "cyan" | 不适用 | [0, 1, 1] | "#00FFFF" | ![]() |
| 不适用 | "c" | [0, 0.75, 0.75] | "#00BFBF" | ![]() |
| "magenta" | 不适用 | [1, 0, 1] | "#FF00FF" | ![]() |
| 不适用 | "m" | [0.75, 0, 0.75] | "#BF00BF" | ![]() |
| "yellow" | 不适用 | [1, 1, 0] | "#FFFF00" | ![]() |
| 不适用 | "y" | [0.75, 0.75, 0] | "#BFBF00" | ![]() |
| "black" | "k" | [0, 0, 0] | "#000000" | ![]() |
| "white" | "w" | [1, 1, 1] | "#FFFFFF" | ![]() |
| "none" | 不适用 | 不适用 | 不适用 | 无颜色 |
以下是 Syslab 在许多类型的绘图中使用的默认颜色的 RGB 三元组和十六进制颜色代码。
| RGB 三元组 | 十六进制颜色代码 | 外观 |
|---|---|---|
| [0, 0.4470, 0.7410] | "#0072BD" | ![]() |
| [0.8500, 0.3250, 0.0980] | "#D95319" | ![]() |
| [0.9290, 0.6940, 0.1250] | "#EDB120" | ![]() |
| [0.4940, 0.1840, 0.5560] | "#7E2F8E" | ![]() |
| [0.4660, 0.6740, 0.1880] | "#77AC30" | ![]() |
| [0.3010, 0.7450, 0.9330] | "#4DBEEE" | ![]() |
| [0.6350, 0.0780, 0.1840] | "#A2142F" | ![]() |
示例: histogram2(X,edgecolor="r") 创建一个带红色条形边界的直方图。
facealpha - 直方图条形的透明度1 (默认) | 介于 0 和 1(包括二者)之间的标量值
直方图条形的透明度,指定为介于 0 和 1(包括二者)之间的标量值。histogram 对所有的直方图条形使用相同的透明度。值 1 表示完全不透明,0 则表示完全透明(不可见)。
示例: histogram2(X,Y,facealpha = 0.5) 创建一个具有半透明条形的二元直方图。
facecolor - 直方图的条形颜色"auto" (默认) | "none" | RGB 三元组 | 十六进制颜色代码 | 颜色名称
直方图的条形颜色,指定为下列值之一:
- "none" - 条形未填充;
- "auto" - 直方图条形颜色是自动选择的(默认);
- RGB 三元组、十六进制颜色代码或颜色名称 - 用指定的颜色填充条形。
RGB 三元组和十六进制颜色代码对于指定自定义颜色非常有用。
- RGB 三元组是包含三个元素的行向量,其元素分别指定颜色中红、绿、蓝分量的强度。强度值必须位于 [0,1] 范围内,例如 [0.4 0.6 0.7];
- 十六进制颜色代码是字符向量或字符串标量,以井号 (#) 开头,后跟三个或六个十六进制数字,范围可以是 0 到 F。这些值不区分大小写。因此,颜色代码 "#FF8800" 与 "#ff8800"、"#F80" 与 "#f80" 是等效的。
此外,还可以按名称指定一些常见的颜色。下表列出了命名颜色选项、等效 RGB 三元组和十六进制颜色代码。
| 颜色名称 | 短名称 | RGB 三元组 | 十六进制颜色代码 | 外观 |
|---|---|---|---|---|
| "red" | "r" | [1, 0, 0] | "#FF0000" | ![]() |
| "green" | 不适用 | [0, 0.5019607843137255, 0] | "#008000" | ![]() |
| 不适用 | "g" | [0, 0.5, 0] | "#007F00" | ![]() |
| 不适用 | 不适用 | [0, 1, 0] | "#00FF00" | ![]() |
| "blue" | "b" | [0, 0, 1] | "#0000FF" | ![]() |
| "cyan" | 不适用 | [0, 1, 1] | "#00FFFF" | ![]() |
| 不适用 | "c" | [0, 0.75, 0.75] | "#00BFBF" | ![]() |
| "magenta" | 不适用 | [1, 0, 1] | "#FF00FF" | ![]() |
| 不适用 | "m" | [0.75, 0, 0.75] | "#BF00BF" | ![]() |
| "yellow" | 不适用 | [1, 1, 0] | "#FFFF00" | ![]() |
| 不适用 | "y" | [0.75, 0.75, 0] | "#BFBF00" | ![]() |
| "black" | "k" | [0, 0, 0] | "#000000" | ![]() |
| "white" | "w" | [1, 1, 1] | "#FFFFFF" | ![]() |
| "none" | 不适用 | 不适用 | 不适用 | 无颜色 |
以下是 Syslab 在许多类型的绘图中使用的默认颜色的 RGB 三元组和十六进制颜色代码。
| RGB 三元组 | 十六进制颜色代码 | 外观 |
|---|---|---|
| [0, 0.4470, 0.7410] | "#0072BD" | ![]() |
| [0.8500, 0.3250, 0.0980] | "#D95319" | ![]() |
| [0.9290, 0.6940, 0.1250] | "#EDB120" | ![]() |
| [0.4940, 0.1840, 0.5560] | "#7E2F8E" | ![]() |
| [0.4660, 0.6740, 0.1880] | "#77AC30" | ![]() |
| [0.3010, 0.7450, 0.9330] | "#4DBEEE" | ![]() |
| [0.6350, 0.0780, 0.1840] | "#A2142F" | ![]() |
示例: histogram2(X,Y,facecolor = "g") 创建一个具有绿色条形的三维直方图。
linestyle - 线型"-" (默认) | "--" | ":" | "-." | "none"
线型,指定为下表中列出的选项之一。
| 线型 | 说明 | 表示的线条 |
|---|---|---|
| "-" | 实线 | ![]() |
| "--" | 虚线 | ![]() |
| ":" | 点线 | ![]() |
| "-." | 点划线 | ![]() |
| "none" | 无线条 | 无线条 |
linewidth - 条形轮廓的宽度0.5 (默认) | 正值
条形轮廓的宽度,指定为以磅为单位的正值。一磅等于 1/72 英寸。
示例: 1.5
数据类型: Int16 | Int32 | Int64 | Float16 | Float32 | Float64
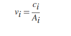
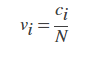
normalization - 归一化类型 "count" (默认) | "countdensity" | "probability" | "pdf"
归一化类型,指定为此表中的一个值。对于每个 bin i:
- vi 是 bin 的值;
- ci 是 bin 中的元素数目;
- Ai=Wxi*Wyi 是每个 bin 的面积,使用 bin 宽度 x 和 y 计算得出;
- N 是输入数据中的元素数目。此值可以大于分 bin 数据元素数,前提是数据中包含 NaN 值,或者某些数据位于 bin 范围外。
| 值 | bin值 | 注释 |
|---|---|---|
| "count" (默认值) | ![]() |
|
| "countdensity" | ![]() |
|
| "probability" | ![]() |
|
| "pdf" | ![]() |
|
示例: histogram2(X,Y,normalization = "probability") 。
xbinlimits - x 维度的 bin 范围向量
x 维度的 bin 范围,指定为二元素向量 [xbmin,xbmax]。该向量表示 x 维度中的第一个和最后一个 bin 边界。
histogram2 只绘制在 bin 范围 Data(Data(:,1)>=xbmin & Data(:,1)<=xbmax)(包含这两个边界值)内的数据。
ybinlimits - y 维度的 bin 范围向量
y 维度的 bin 范围,指定为二元素向量 [ybmin,ybmax]。该向量表示 y 维度中的第一个和最后一个 bin 边界。
histogram2 只绘制在 bin 范围 Data(Data(:,2)>=ybmin & Data(:,2)<=ybmax)(包含这两个边界值)内的数据。
# 输出参数
h - 二元直方图对象
直方图,以对象的形式返回。


























